Skip to main content

Cross-Laminated Timber (CLT) has revolutionized modern construction with its strength, versatility, and sustainability. To ensure the efficient design of CLT structures, several analytical methods have been developed. In this post, we delve into four key methods: the Shear Analogy Method, the Gamma Method, the Extended Gamma Method, and Timoshenko beam theory, each offering unique insights for CLT design.

The Shear Analogy Method

Reference: FP Innovations Handbook 2019

The Shear Analogy method is renowned for its precision in CLT design. It conceptualizes the layered CLT panel as two imaginary beams, A and B. Beam A represents the inherent flexural stiffness of individual layers, while Beam B accounts for the combined flexural and shear stiffness of all layers and connections. This method is particularly effective for determining the effective flatwise bending stiffness of a panel, crucial for ensuring the strength and stability of CLT structures.
One significant advantage of this method is its ability to consider shear deformation in both parallel and cross layers without being limited by the number of layers in a panel. It uses the GAeff calculation for shear deformation and separately calculates bending and shear deformations. The effective stiffness is then recalculated into a term called EI apparent (EIapp).

null

 

null

null

Limitations of a Shear Analogy Method.

Even if it is the most precise design method for CLT panels, it’s important to note that the Shear Analogy Method has the following limitations:

  • Not convenient for design of CLT member under fire action.
  • It is only applying for symmetric and regular CLT panels.

The Gamma Method

Reference: proHolz Volume 1

The Gamma method offers a unique perspective by treating the longitudinal layers of a CLT panel as beams and the cross layers as continuously distributed connections. It assumes that the load on the panel is carried only by the longitudinal layers, while the cross layers, with their shear stiffness equivalent to the modulus of rolling shear, handle the shear deformation.

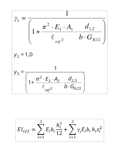
A key aspect of the Gamma method is the introduction of the γi factor, which measures the connection efficiency of the cross layers. This factor varies, indicating the degree of interaction between layers; a γi of 1 suggests perfect connection, whereas a value of zero implies no unified action among the longitudinal layers.
The method assumes that the second longitudinal layer from the top is restrained with a thicker edge (γ2=1), while the adjacent layers are flexibly connected to it. Consequently, their Steiner portion experiences a reduction determined by a Gamma value, which varies depending on the span.
This method is suitable for CLT build-ups with two and three longitudinal layers but is limited in its application. It provides a solution for simply supported beams or panels with sinusoidal load distribution and does not consider shear deformation in longitudinal layers. Moreover, its effectiveness depends on the span length, and it becomes cumbersome for panels with more than five total layers.

null

Limitations of a Gamma Method.

  • This method only provides a closed (exact) solution for the differential equation: simply supported beams or panels with a sinusoidal load distribution; however, the differences between the exact solution and those for uniformly distributed loads or point loads are minimal and are therefore acceptable in engineering practice (Ceccotti, 2003).
  • This method ignores the influence of shear deformations in the longitudinal layers on the total deflection of the panel.
  • The (EI)eff depends on the span length and, thus, is a system-dependent value.
  • Most importantly, this method will not apply to CLT panels with a total of seven or more layers, which requires some modifications that render it cumbersome.

The Extended Gamma Method

Reference: proHolz Volume 1

Building on the Gamma Method, the Extended Gamma Method is tailored for more complex CLT structures, particularly those with more than three longitudinal layers. This makes it applicable to panels with seven, nine, or eleven total layers.

The Extended Gamma Method follows the same fundamental principles as the Gamma Method but is adapted to handle the increased complexity of thicker, multi-layered panels.

This method follows the assumption of the Gamma method, the flexibly connected partial cross section (longitudinal layers) can have different cross-sections and stiffness, yet these properties remain constant along the entire girder length. Similarly, the stiffness of the flexible couplings (the transverse layer) remains unchanged, assuming continuous gluing of the transverse layers. However, the Extended Gamma method considers the flexible coupling to the longitudinal layers positioned farther away from the adjacent layer. This consideration is necessary because, with more than three longitudinal layers, the stiffness of the cross-section is no longer determined solely by the flexibility to the respectively adjacent longitudinal layer.

It shares similar limitations to the Gamma Method, except for its applicability to CLT panels with more than five layers (more than three longitudinal layers).

null

null

null

Timoshenko Beam Theory

Reference: FP Innovations 2019 S 3.3.1, proHolz Vol 1 A.2, proHolz Vol 2 9.1, and Christovasilis et al. (2016)

The above three methods can be implemented with the Euler-Bernoulli beam element as no shear deformation are considered, but accounts indirectly for them (the shear analogy method calculates the apparent bending stiffness, while the Gamma and extended Gamma methods determine the effective bending stiffness based on the efficiency of connection between the longitudinal layers).

However, the Timoshenko beam theory is an extension of the Euler-Bernoulli beam theory that includes shear deformations and rotational bending effects in developing the basic equations. This makes it suitable for predicting the behaviour of thick beams and sandwich composites (beams/plates), such as CLT.

The Timoshenko beam (multilayer shear flexibility connected beam) is a powerful analytical method widely used in Europe and in several specialty computer programs for CLT. This is because it is effective for:

  • Any layer of a timber cross-section
  • All span types (independent of the span length)
  • The method considers both flexural and shear deformation of the section.

The designation of layers and distances in the method is defined in the Figure below.

null

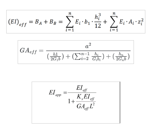
Stiffness properties

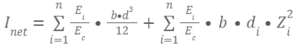
  1.  The bending stiffness (EIeff)

null

Where,

(Inet) effective moment of inertia of the ection

null

 

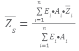
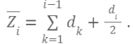
(Zi)the position of the centre of gravity of individual layer from the overall centre of gravity of the
section.

null

 

(Zs)the position of the entire section centre of gravity from the upper edge.

null

 

(Zi)the position of the centre of gravity of individual layer from the section upper edge having a thickness of di.

null

The shear stiffness (G. As):

null

 

where,

  • Area, A=b.d
  • Shear correction coefficient (kz)

null

 

  • Shear correction factor (k):

null

The tabular method for the determination of the shear correction factor (k)

The double integral can be determined layer by layer. To achieve this, divide the section into two parts as illustrated in Figure below.

null

 

For a specific layer, the double integral can be expressed in terms of polynomials.

null
null

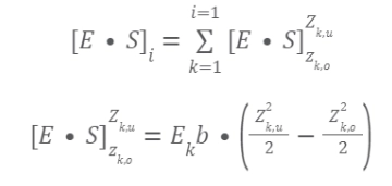
The expression [E.S]i for each layer is defined as follows:

null

Where,

  • The term Zi,u represents the layer’s bottom and top fibres for the sections above and below the centre of gravity (C.G), respectively.
  • The term Zi,o represents the layer’s top and bottom fibres for the sections above and below the centre of gravity (C.G), respectively.

Sample Example for Term Definitions

Let’s consider a section as shown in Figure below.

null

For section above C.G

Note: i represents the number of layers above, including the current layer.

null

For section below C.G

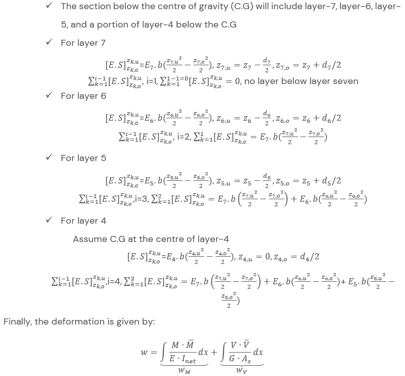
Note: i represents the number of layers below, including the current layer.

null

Limitations of the Timoshenko beam theory.

  • Computationally intensive

Conclusion

In conclusion, the Shear Analogy, Gamma, Extended Gamma, and Timoshenko beam theory methods each provide valuable tools for the analysis and design of CLT structures. Understanding the applications of these methods is crucial for architects, engineers, and builders who seek to leverage the full potential of CLT in modern construction.

Summary of the analytical methods for CLT panel design:

null

Author

Girum Alem Demissie