Cross-Laminated Timber (CLT) has revolutionized modern construction with its strength, versatility, and sustainability. To ensure the efficient design of CLT structures, several analytical methods have been developed. In this post, we delve into three key methods: the Shear Analogy Method, the Gamma Method, and the Extended Gamma Method, each offering unique insights for CLT design.
Understanding the Shear Analogy Method in CLT Design
Reference: FP Innovations Handbook 2019
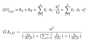
The Shear Analogy method is renowned for its precision in CLT design. It conceptualizes the layered CLT panel as two imaginary beams, A and B. Beam A represents the inherent flexural stiffness of individual layers, while Beam B accounts for the combined flexural and shear stiffness of all layers and connections. This method is particularly effective for determining the effective flatwise bending stiffness of a panel, crucial for ensuring the strength and stability of CLT structures.
One significant advantage of this method is its ability to consider shear deformation in both parallel and cross layers without being limited by the number of layers in a panel. It uses the GAeff calculation for shear deformation and separately calculates bending and shear deformations. The effective stiffness is then recalculated into a term called EI apparent (EIapp).
However, it’s important to note that the Shear Analogy Method has its limitations. It is not suitable for designing CLT members under fire action and only applies to symmetric and regular CLT panels.




Limitations of a Shear Analogy Method.
- Not convenient for design of CLT member under fire action.
- It is only applying for symmetric and regular CLT panels.
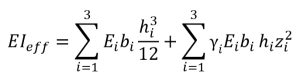
Exploring the Gamma Method for CLT Panel Design
Reference: Proholz Volume 2
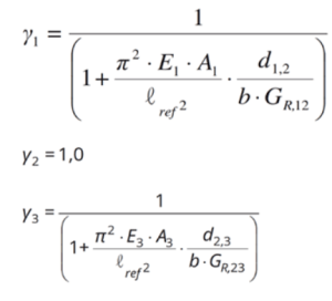
The Gamma method offers a unique perspective by treating the longitudinal layers of a CLT panel as beams and the cross layers as continuously distributed connections. It assumes that the load on the panel is carried only by the longitudinal layers, while the cross layers, with their shear stiffness equivalent to the modulus of rolling shear, handle the shear deformation.
A key aspect of the Gamma method is the introduction of the γi factor, which measures the connection efficiency of the cross layers. This factor varies, indicating the degree of interaction between layers; a γi of 1 suggests perfect connection, whereas a value of zero implies no unified action among the longitudinal layers.
This method is suitable for CLT build-ups with two and three longitudinal layers but is limited in its application. It provides a solution for simply supported beams or panels with sinusoidal load distribution and does not consider shear deformation in longitudinal layers. Moreover, its effectiveness depends on the span length, and it becomes cumbersome for panels with more than five total layers.


Limitations of a Gamma Method.
- This method only provides a closed (exact) solution for the differential equation: simply supported beams or panels with a sinusoidal load distribution; however, the differences between the exact solution and those for uniformly distributed loads or point loads are minimal and are therefore acceptable in engineering practice (Ceccotti, 2003).
- This method ignores the influence of shear deformations in the longitudinal layers on the total deflection of the panel.
- The (EI)eff depends on the span l and, thus, is a system-dependent value.
- Most importantly, this method will not apply to CLT panels with a total of seven or more layers, which requires some modifications that render it cumbersome.
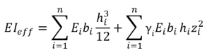
Advanced Methods: The Extended Gamma Method
Reference: Proholz Volume 2
Building on the Gamma Method, the Extended Gamma Method is tailored for more complex CLT structures, particularly those with more than three longitudinal layers. This makes it applicable to panels with seven, nine, or eleven total layers.
The Extended Gamma Method follows the same fundamental principles as the Gamma Method but is adapted to handle the increased complexity of thicker, multi-layered panels. It shares the same limitations as the Gamma Method, except for its applicability to CLT panels with more than five layers.



Conclusion
In conclusion, the Shear Analogy, Gamma, and Extended Gamma methods each provide valuable tools for the analysis and design of CLT structures. Understanding the nuances and applications of these methods is crucial for architects, engineers, and builders who seek to leverage the full potential of CLT in modern construction.




