Introduction to Timber-Concrete Composite Floors
Timber–concrete composite (TCC) floors combine cross-laminated timber and a concrete slab using shear connectors, allowing them to act as a single unit. The concrete, placed on top, resists compression, while the timber below handles tension. This setup leverages the strengths of both materials, concrete’s compressive capacity and timber’s tensile strength and lightness, resulting in a stiffer, stronger floor than timber or concrete alone.
TCC Floor Composition: Timber + Concrete + Connectors
A typical TCC floor consists of a timber component, a concrete layer, and connectors that join them.

Figure 1: Timber-Concrete Composite floor with a concrete topping on CLT panel and vertical screw
The timber layer is typically composed of solid timber or cross-laminated timber (CLT) panels and serves as the tension flange in the composite system. It provides tensile strength and significantly contributes to the floor’s sustainability.
The concrete layer is a concrete topping cast on top of the timber. It acts as a compression flange, providing mass and stiffness to the floor system.
The shear connectors are critical components that provide interlayer shear transfer between the timber and concrete, enabling composite action. Various types of connectors are used in TCC, including:
- Mechanical Fasteners: such as self-tapping screws, nails, or dowels installed at an angle or vertically to resist shear.
- Notched Connections: notches or grooves in the timber that are filled with concrete or fitted with steel parts, creating interlock. Notches are often combined with screws/bolts for a secure connection.
- Steel Connectors: proprietary brackets, plates, or kerf plates epoxied or screwed into the timber and embedded in the concrete. Perforated metal plates or timber rivets also fall in this category.
- Structural Adhesive: High-performance adhesives are used to bond the timber and concrete layers directly, creating a continuous interface without mechanical fasteners. This type of connector is best suited for controlled, prefabricated applications.


Figure 2. TCC Floors with Different Connector Types: (a) Screw Connector, (b) Notched Connection
Shear connectors are essential to TCC floor performance, as they transfer interlayer shear forces and enable composite action between timber and concrete. Their stiffness governs the degree of slip: stiffer connectors result in stronger composite behavior, while flexible ones lead to partial interaction. To ensure safe and effective load transfer, connectors must also meet code requirements for spacing and detailing. A well-designed connection ensures the two layers bend together, limits slip, and keeps connector forces within allowable limits.

Figure 3 The three principles of composite action and the corresponding principal strain distributions.
Advantages of TCC Floors vs. Timber-Only and Concrete-Only Floors
TCC floors offer a superior alternative to using only timber or only concrete by merging their individual strengths into a single, integrated system. This combination results in enhanced structural performance and design versatility that neither material can achieve on its own.
Key advantages are summarized in the following table.
| Advantages of TCC Floors vs. Timber Floors | Advantages of TCC Floors vs. RC Floors |
Higher stiffness and capacity
| Reduced self-weight
|
Improved vibration performance
| Sustainability
|
Better sound insulation
| Fast construction (prefabrication)
|
Fire performance
| Aesthetic exposure
|
Enhanced span length
| Built-in formwork
|
Analytical Design Methods: Gamma (γ) Method and Extended Gamma Method
The stiffness and strength properties of TCC floors can be determined using analytical, experimental, or a combination of both methods, based on model testing. Analytical approaches include the shear analogy method and the γ-method (gamma method) provided in Annex B of Eurocode 5 (EN 1995-1-1). For CLT floors, the relevant analytical methods are detailed in a previous blog post available at the link below.
To enhance accuracy in TCC design, modified gamma versions such as the equivalent gamma method and the extended gamma method are commonly used, as described below.
Equivalent Gamma Method:
The equivalent gamma method is a slightly modified version of the standard gamma method, enabling more than three load-bearing CLT layers in addition to the concrete layers. This method first separates the concrete layer and the CLT section, calculates the effective bending stiffness for each material individually, and then recombines them to obtain an equivalent bending stiffness for the composite section. With this approach, the equivalent gamma method is valid for TCC floors with up to four load-bearing layers, i.e., TCCs with a 5-layer CLT section.
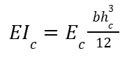
Bending stiffness of the concrete

Bending stiffness of the timber
Effective bending stiffness of the TCC floor
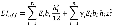
Extended Gamma Method:
This analytical method is a replica of the Gamma Method, but it applies to cross-sections with more than three longitudinal layers, i.e., seven, nine, or eleven-layer build-ups.
The equation system is as follows.


Design Checks for TCC Floors
Designing a TCC floor involves a series of Ultimate Limit State (ULS) strength checks and Serviceability Limit State (SLS) deflection/vibration checks. TCC must be verified at t = 0 and t = ∞ to account for time-dependent effects like shrinkage and creep, which modify internal forces and stiffness over the structure’s lifespan.
One fundamental assumption in TCC analysis is that plane sections remain plane, i.e., the concrete and timber layers have the same curvature. This means the composite section has a single neutral axis and a typical curvature under bending. For TCC verification, the normal stresses, both global and local bending, are calculated using the equation expressed in EN 1995-1-1:2004, Annex B.3.
Global bending stress is the overall stress distribution in the composite TCC section, calculated by assuming the entire floor acts as a single structural unit with an effective stiffness resulting from partial interaction between timber and concrete.

Local bending stress refers to the actual stress developed within each individual material layer (timber and concrete), determined based on their respective stiffness, distance from the neutral axis, and the internal force distribution under bending.

Ultimate Limit State (ULS) verifications
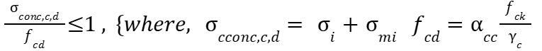
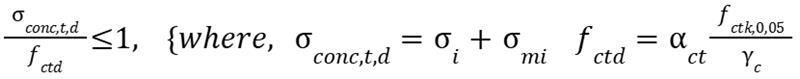
Verification of concrete
| Verification | Description |
| Compression verification | ![]() |
| Tension verification | If the tension verification is not satisfied, verification should include concrete cracking. |
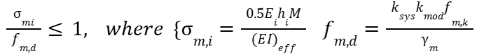
Verification of Timber
| Verification | Description |
| Bending verification | ![]() |
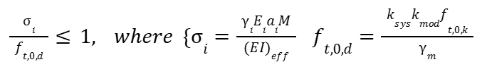
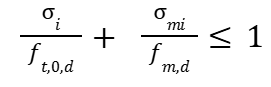
| Tension verification | ![]() |
| Combined bending and tension verification | ![]() |
| Shear verification | ![]() |
Verification of Connections
The maximum load on individual connections should be limited by the load-carrying capacity Fv,Rd as per the following equations.

The connector shear capacity can be calculated based on the connector type. For axially and laterally loaded screw connectors, further details are available at the following link: https://spectoolbox.com/blogs/
Shear force in the connection at the initial time can be calculated as follows:

Shear force in the connection due to shrinkage


Serviceability Limit State (SLS) verifications
Deflection
Deflection limits should be taken from the relevant design codes. Deflections must be verified at both the initial time (t0) and the final time (t∞). The reference level for measuring deflection is the upper side of the composite structure; however, if deflection may impair the building’s appearance, the underside of the structure should be used as the reference level. Precamber may be used. The amount of pre-camber should be calculated using a realistic estimate of the deflection.
Vibration
The vibration level should be estimated by measurement or by calculation, taking into consideration the expected stiffness of the member, component, or structure and the modal damping ratio. The instantaneous elastic bending stiffness of the composite structure should be used in vibration analysis. The vibration performance of TCC floors can be evaluated using methods developed by Hamm et al., FPInnovations, and those outlined in EN 1995. Detailed guidance on these approaches is available in the educational section of the Spec Toolbox TCC Floor Calculator at: https://app.spectoolbox.com
Conclusion
In conclusion, timber–concrete composite (TCC) floors provide a structural solution that combines the strengths of both materials, achieving performance beyond what timber or concrete alone can achieve. When properly designed and detailed, TCC floors ensure safety, durability, and serviceability. They support longer spans, enable more sustainable construction, and allow for the upgrading of existing timber structures. With sound engineering and thorough verification, TCC systems can be confidently applied across a wide range of modern projects. As the construction industry shifts toward sustainable, high-performance solutions, TCC floors offer a compelling and proven option that integrates structural strength, lightness, and carbon-conscious design.
TCCs on SPEC Toolbox
The SPEC Toolbox platform includes a TCC Floor Calculator aimed to simplify the analysis and design of timber–concrete composite floors. It allows users to input floor geometry, material properties, and connector types, and automatically performs key verifications such as bending, shear, deflection, vibration, and connector check at both initial and final time. With built-in educational content and Eurocode-based calculations, it offers a practical and reliable tool for engineers working with TCC systems. Explore the GIF below for a quick demonstration of how to navigate the TCC Floor Calculator.

References
Eurocode 5: Design of timber structures — Part 1-1: General — Common rules and rules for buildings
Eurocode 2: Design of concrete structures —Part 1-1: General rules and rules for buildings
PD CEN/TS 19103:2021 – Design of Timber Structures — Structural design of timber-concrete composite structures — Common rules and rules for buildings
Forsberg, A., & Farbäck, F. (n.d.). Timber Concrete Composite Floors with Cross Laminated Timber: Structural Behavior & Design.










Dowels
CLT
Screws
GLT
Brackets
Light-frame
Ribbed Deck
TCC