Skip to main content

Introduction:

Cross-Laminated Timber (CLT) is increasingly popular in modern construction due to its sustainability and structural robustness. A crucial aspect of designing CLT floors involves the accurate calculation of point loads. These concentrated forces, from sources like heavy equipment or structural supports, create localized stresses that can significantly impact the performance of CLT panels.

Ambient floor system

The CLT Toolbox offers a comprehensive solution for calculating these point loads, enabling engineers and architects to design safer, more efficient buildings. This blog explores the methodologies for point load calculations, load distribution principles in CLT panels, and practical application of the CLT Toolbox to achieve accurate and reliable results. By addressing the challenges associated with concentrated loads, such as stress concentrations and load distribution, the toolbox enhances the ability to maintain structural integrity and safety in CLT constructions.

Fire exposed floor system

Understanding Point Loads in CLT Floors:

Point loads are concentrated forces that lead to localized stress in CLT panels. These loads can arise from various sources, such as heavy machinery, storage racks, or structural supports like columns and walls. The nature of these loads requires precise calculations to prevent excessive stress concentrations, which could lead to material failure or structural deformation.

When calculating point loads, it is essential to consider the exact location where the load will be applied. This includes understanding the geometry of the contact area and the specific characteristics of the load, such as its magnitude and direction. Relating these loads to the center plane of the load-bearing panels ensures that the load is distributed evenly across the panel, reducing the risk of localized failures and enhancing the overall stability of the structure

Load Distribution and Load-Bearing Effects in CLT Panels:

Load distribution in CLT panels benefits from the material’s biaxial load-bearing capability, allowing stresses to spread over a larger area compared to uniaxial considerations. In multi-storey buildings, typical point loads range from 2 to 4 kN, applied over small contact areas like 5 × 5 cm squares. Proper load distribution minimizes stress concentrations and promotes even load transfer across the panel. This method of load distribution is aligned with the principles outlined in the Pro-Holz Manual.

The distribution of loads within CLT panels takes into account the multiple layers and orientations of the timber. Each layer can carry a portion of the load, and the cross-laminated structure allows for efficient transfer of forces between layers. The load distribution width (𝑐𝑦) at the panel’s center plane is critical for understanding how the load propagates through the floor system, which includes the screed and the CLT panel itself. This method provides a more realistic stress distribution, allowing for more accurate design and analysis.

Based on the “Pro:Holz” document, the load distribution width at the center plane (𝑐𝑦) of the CLT panel can be determined using propagation angles through each layer of the floor structure. The typical propagation angles for different layers are:

  • Floating screeds: 45°
  • CLT simplified: 35° (45° for longitudinal layers and 15° for transverse layers)
  • Fills: 15°
  • Insulations: 0°

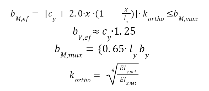
These angles help in calculating the effective width for bending (bM,ef) and shear stresses (bV,ef). The orthotropy factor (𝑘𝑜𝑟𝑡ℎ𝑜) is used to account for different stiffness properties in the longitudinal and transverse directions of the CLT panel.

Effective Width for Bending and Shear Stresses:

Determining effective width for bending (bM,ef) and shear stresses (bV,ef) involves considering factors like the orthotropy factor (𝑘𝑜𝑟𝑡ℎ𝑜). This factor accounts for the different stiffness properties in the longitudinal and transverse directions of the CLT panel. For linear loads applied by walls parallel to the span direction, the load distribution width for bending stress is adjusted based on the span between supports and the floor’s width. Shear stresses, especially near supports, are distributed in a circular section around the support point.

When calculating effective widths, it is essential to ensure that the stresses do not exceed the material’s capacity. This includes checking both bending and shear stresses to prevent potential failures. The CLT Toolbox helps automate these calculations, providing engineers with precise values for designing safe and efficient floor systems. By incorporating the orthotropy factor, the toolbox ensures that the unique properties of CLT are fully utilized, optimizing the load-bearing capacity of the panels.

Using the Point Load Calculator:

The CLT Toolbox simplifies point load calculations with a user-friendly interface. Users input parameters such as load magnitude, contact dimensions, and panel dimensions. The calculator then computes load distribution and stress concentrations, ensuring that the design meets structural standards and provides a reliable basis for further engineering analysis.

The current version of the calculator takes a point and distributed “Input Factored Load” for both ULS and SLS design, considering it as input. In line with this, if fire calculation is requested, further “Input Factored Load” for fire will be passed along with the effective charred depth (def) to dimension the member for the post-fire design situation.

The point load calculator within the CLT Toolbox is designed to handle a variety of load scenarios. Whether dealing with a single concentrated load or a single concentrated load plus a distributed load, the calculator provides accurate results by considering all relevant factors. It also allows for quick adjustments, enabling users to test different design options and find the most efficient solution. The integration of detailed calculation methods ensures that the results are reliable and conform to industry standards.

Key Features of this calculator:

  • Accurate point load calculations
  • User-friendly interface
  • Compliance with structural standards ( EN1995 , AS 1720 , and NZS AS 1720)
  • Quick adjustments for different design options
  • Detailed calculation reports

Conclusion:

Accurate point load calculations for CLT floors are essential for maintaining structural integrity and safety. The CLT Toolbox provides a practical solution for these calculations, making it easier for engineers and architects to design robust and efficient structures. By following the outlined steps and using the provided examples, users can ensure their designs meet all necessary standards and are prepared for real-world applications.

References:

  • Pro:Holz 2014 Manual.
  • EN 1991-1-1: Actions on structures – General actions.
  • Girkmann, 1968: Analytical solutions for orthotropic panels.
  • Quick adjustments for different design options
  • DAfStb, 1988: Load distribution in isotropic panels.