Due to its characteristic geometry and build-up, cross laminated timber has very versatile structural applications. It can be loaded perpendicular to its surface bi-directionally (out of plane loading) and it can be loaded by forces parallel to its surface (in-plane loading). For this reason, CLT panels are used as floors, bearing walls, shear walls, and also as beams or lintels.

CLT beams can be used to support floors or roofs of CLT. The beams require bracing, which can be achieved by screwing the floor or roof panel firmly into the beam. Beams can also be used to stiffen the floor, roof, or wall panels.
Structurally speaking CLT beams have a distinct shear stress situation and failure mechanisms. Because they are loaded in-plane, the brittle shear failure modes are very different to that of out-of-plane loading. Currently, there are three different methods for checking these failure mechanisms.
The first method was presented by Flaig and Blass (2013). In this method three different failure mechanisms are checked:
-Failure mode I is characterized by shear failure parallel to the grain in the gross cross section of a beam. The failure occurs in sections between unglued joints with equal shear stresses in longitudinal layers and transversal layers.


-Failure mode II is characterised by shear failure perpendicular to the grain in the net cross section of a beam. The failure occurs in sections coinciding with unglued joints with shear stresses only in lamellae perpendicular to the joints.


-Failure mode III is characterised by shear failure within the crossing-areas between orthogonally bonded lamellae. The failure is caused by torsional and unidirectional shear stresses resulting from the transfer of shear forces between adjacent layers.

In failure mode III three different components of shear stresses occurring in the crossing areas have to be considered:
– Shear stresses parallel to the beams axis which are caused by the change of the bending moment and the balancing of the resulting differential normal stresses in longitudinal lamellae.

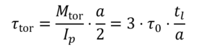
– Torsional shear stresses which arise due to the eccentricity between the centre lines of adjacent lamellae

– Shear stresses perpendicular to the beam axis occurring in the crossing areas at supports and concentrated load application points and in beams with variable cross section, such as notched beams, beams with holes and tapered beams.

The second method was presented by Wallner-Novak et al. in proHolz vol. I (2014). In this method three different failure mechanisms are presented which were taken from product approvals and documents:
-Mechanism I: Shearing-off failure of the boards along a joint


-Mechanism II: Shearing failure of the glued surfaces in the intersection points


-Mechanism III: Shear failure of the entire plate


The third method is the RVSE method presented by Bogensperger et al. (2010). This model is developed by referring to an ideal CLT panel with an infinite number of layers and considering a crossing interface with width equal to the width of the laminations. This element is then simplified to obtain a Representative Volume Sub Element (RVSE) of CLT, which is thickness equal to a CLT element and in width and depth equal to the width of one board plus the half of the width of gaps between adjacent boards.

The RVSE method also presents us with three failure mechanisms which are similar to the ones mentioned in earlier methods.
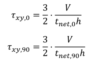
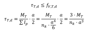
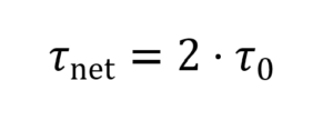
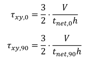
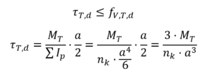
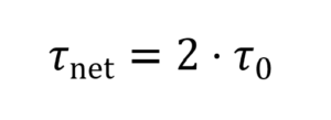
-Mechanism I (net shear) consider the transfer of shear forces via the cross sections of boards within a RVSE. Consequently, the shear stress is given as:

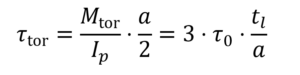
-Mechanism II (torsion): Shear strain in the RVSE, in case of insufficient or missing connection between the board edges, causes also torsional strain in the surface bond layer. This may cause failure in the gluing interface, which is dedicated to mechanism II “torsion”. Assuming polar torsion, the torsional shear stresses τtor are given as:

-Mechanism III (gross shear): This is the nominal shear stress constant in RVSE for its whole thickness.

In the CLT toolbox’s “CLT beam” and calculator, the engineer has the option to check the in-plane shear strength either using the Flaig and Blass method (named on the app as the FPInnovations method) or using the proHolz method.


The shear stresses calculated for the three failure mechanisms in any of the two methods used on the app are checked against the gross in-plane shear strength, the net in-plane shear strength and the in-plane torsional shear strength. The characteristic values of the net and gross shear strength are usually given by in the ETA documents of CLT manufacturers, while for the in-plane torsional strength a characteristic value of 2.5 MPa is recommended.





Dowels
CLT
Screws
GLT
Brackets
Light-frame
Ribbed Deck
TCC