Why This Ribbed Deck Blog Matters
Ribbed decks are an innovative solution in modern timber construction, offering a combination of strength, stiffness, and material efficiency. However, engineers often face challenges in understanding their unique load distribution, vibration performance, and design requirements, which differ significantly from flat CLT or glulam panels. Incorrect assumptions can lead to over-designed structures, serviceability issues, or costly errors during construction.
This Blog will walk you through everything you need to know about ribbed decks: from structural behavior and design principles, to rib geometry, spacing, and configuration, and key code and standard references Eurocode 5 and Proholz. By the end, you’ll be equipped to design ribbed decks that are both safe and efficient, with confidence in real-world applications.
What Are Ribbed Decks?
Ribbed decks, also known as “ribbed plates”, are composed of a flat Cross-Laminated Timber (CLT) panel combined with longitudinal glued laminated timber (glulam) ribs, forming a composite slab that offers increased stiffness while minimizing material usage. In this structural system, the CLT panel acts as the compression-resisting “flange,” while the glulam ribs serve as the “web,” and in some cases, also as the tension-resisting bottom flange. Together, these components form a T-shaped cross-section that functions similarly to a composite beam or slab. Ribbed CLT decks are classified according to the geometric relationship between the CLT panel and the supporting ribs, with the primary configurations being: T-Shape Configuration, Inverted T-Shape Configuration, and Box-Type Configuration.


Figure 1: T-Shaped Ribbed Deck vs. Inverted T-Shaped Ribbed Deck

Figure 2:Box Type(Closed) Ribbed Deck– CLT above & below the ribs
When to Choose Ribbed Decks: Advantages and Applications
The use of ribbed plates results in increased stiffness for roof and floor systems while minimizing material usage, thereby enabling longer span lengths. The following table summarizes the advantages of ribbed decks compared to conventional timber floors (CLT floors):
| Advantages of Ribbed Decks vs. Timber Floors (CLT Floors) |
| Higher stiffness and load-bearing capacity
Composite action between CLT panels and glulam ribs increases flexural rigidity and structural efficiency. |
| Material efficiency
Improved stiffness-to-weight ratio allows reduced timber volume while maintaining performance. |
| Longer spans
Ribbed geometry enables extended spans with minimal increase in structural depth or deflection. |
| Design flexibility
Rib geometry and spacing can be tailored to meet specific structural or architectural requirements. |
| Improved vibration control
Enhanced stiffness contributes to higher natural frequencies, reducing perceptible vibrations. |
| Optimized acoustics
Cavity between ribs can be filled with insulation to improve sound performance. |
| Concealed service integration
Voids between ribs can accommodate mechanical and electrical systems, simplifying installations. |
Structural Principles Governing Ribbed Decks
The structural performance of ribbed decks is primarily influenced by the type of connection established between the Cross-Laminated Timber (CLT) panel and the glued laminated timber (glulam) ribs. The level of interaction between these components determines the system’s stiffness, load-sharing behavior, and degree of composite action. Connections can generally be classified as either rigid or flexible, with each type yielding different structural responses. The extent of composite behavior is commonly expressed using the gamma factor (γ), which ranges from partial (γ < 1) to full (γ = 1) interaction.

Figure: Ribbed Deck with Combined Rigid and Flexible Connections
Rigid Connection
A rigid connection is formed through the application of structural adhesives, creating a continuous bond between the deck and the ribs. This configuration allows for efficient transfer of both shear and bending forces across the interface, enabling the system to act as a monolithic structural element. No relative slip occurs between the layers, and vertical deformation remains minimal. As a result, the system exhibits high stiffness and achieves full composite action, represented by a gamma value of γ = 1.0.

Figure: Cross Section of a Ribbed Deck with Rigid Connection

Figure: Deformation and Strain Distribution in a Ribbed Deck with Rigid Connection
Flexible Connection
In a flexible connection, mechanical fasteners such as screws, nails, or bolts are used to connect the CLT panel to the ribs. While shear forces can be transferred, this type of connection permits relative movement between the components and does not effectively transmit bending moments. As a result, only partial composite action is achieved, with gamma values falling within the range 0 < γ < 1. The deck and ribs behave more independently, and the presence of interlayer slip and moderate vertical deformation leads to reduced stiffness and lower structural efficiency when compared to systems with rigid, adhesive bonding.

Figure: Cross Section of a Ribbed Deck with Flexible Connection

Figure: Deformation and Strain Distribution in a Ribbed Deck with flexible Connection
Preliminary Design Considerations
Floor Level
In ribbed deck systems, the floor level defines the deck’s vertical position and affects how it carries loads:
- Intermediate Floor: Located between stories; supports dead load and live load from the level above.
- Roof Floor: Top level; carries roof loads and resists environmental actions such as snow and wind uplift.
The table below summarizes the economically and structurally efficient proportions for ribbed plates applied in both floor and roof systems:
| Parameter | Intermediate Floor(Floor) | Roof Floor(Roof) |
| Economic Span (L) | 6.0 m to 9.0 m | 7.0 m to 15.0 m |
| Overall Structural Depth (h) | L/18 to L/14 | L/25 to L/17 |
| Centre-to-Centre Rib Spacing (b) | 60 cm to 80 cm | 60 cm to 120 cm |
| Deck or Panel Thickness (hf) | hf = maximum of
|
hf = maximum of
|
Key Design Factors for Ribbed Deck
Effective width
When a plate with a rib (or similar structural element) is subjected to bending, the actual distribution of bending stresses across its width is non-linear, especially near concentrated loads or supports. To bridge this gap, the effective width bef is introduced. It represents a reduced width over which stresses can be assumed to act uniformly or linearly, allowing the use of simplified beam theory while still capturing the critical stress effects.
In general, the effective width is determined by summing the width of the rib and the effective widths of the adjoining plate segments on either side of the rib.

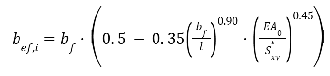
Effective Width Under Uniformly Distributed Load
The effective plate widths on either side of the rib can be determined for assessing bending stresses within the span and for evaluating serviceability in single-span and multi-span beams subjected primarily to uniform loading, as defined by:

Effective Width Under Concentrated Load
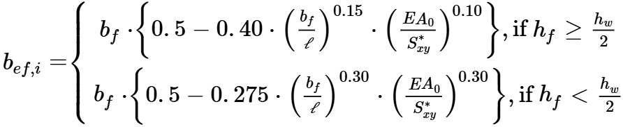
For the determination of the effective plate widths on either side of the rib, the following expression is used to verify bending stresses within the span, assess serviceability in single-span and multi-span beams, and evaluate bending stresses in the support zones of multi-span beams subjected to concentrated loads:

Analytical Design Methods: shear Analogy Method, Gamma (γ) Method and Extended
Gamma Method
The stiffness and strength properties of Ribbed Deck can be determined using analytical, experimental, or a combination of both methods, based on model testing. Analytical approaches include the shear analogy method and the γ-method (gamma method) provided in Annex B of Eurocode 5 (EN 1995-1-1). For CLT floors, the relevant analytical methods are detailed in a previous blog post available at the link below.
To improve the accuracy of ribbed-deck design, the following sections outline the analytical considerations that differ from standard CLT floor , even though the same analytical methods apply to both systems.
The Shear Analogy Method
The primary distinction between the shear analogy method for ribbed decks and that for CLT floors lies in the determination of effective flexural stiffness. In the case of ribbed decks, the effective flexural stiffness is calculated separately for the span and support regions, due to differing effective width values for shear, span, and support conditions.
Equivalent Gamma Method:
The equivalent gamma method is a slightly modified version of the standard gamma method, enabling more than three load-bearing CLT layers in addition to the beam. This method first separates the CLT Layer and the Beam section, calculates the effective bending stiffness for each material individually, and then recombines them to obtain an equivalent bending stiffness for the composite section. With this approach, the equivalent gamma method is valid for Ribbed Deck with up to four load-bearing layers, i.e., Ribbed Decks with a 5-layer CLT section.
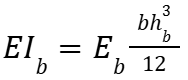
Bending stiffness of CLT plate

Bending stiffness of the beam

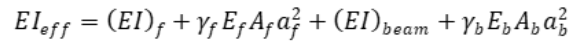
Bending stiffness of the Ribbed Deck


Extended Gamma Method:
This analytical method is a replica of the Gamma Method, but it applies to cross-sections with more than three longitudinal layers, i.e., seven, nine, or eleven-layer build-ups.
The equation system is as follows.


Design Checks for Ribbed Deck
Designing a Ribbed deck involves a series of Ultimate Limit State (ULS) strength checks and Serviceability Limit State (SLS) deflection/vibration checks.
Ultimate Limit State (ULS) verifications
| Verification | Description |
| Bending verification |
|
| Shear verification |
|
Verification of Connections
The maximum load on individual connections should be limited by the load-carrying capacity Fv,Rd as per the following equations.

The connector shear capacity can be calculated based on the connector type. For axially and laterally loaded screw connectors, further details are available at the following link: https://spectoolbox.com/blog/
Shear force in the connection can be calculated as follows:

Serviceability Limit State (SLS) verifications
Deflection
Deflection limits should be taken from the relevant design codes. The reference level for measuring deflection is the upper side of the composite structure; however, if deflection may impair the building’s appearance, the underside of the structure should be used as the reference level. Precamber may be used. The amount of pre-camber should be calculated using a realistic estimate of the deflection.
Vibration
The vibration level should be estimated by measurement or by calculation, taking into consideration the expected stiffness of the member, component, span length or structure and the modal damping ratio. The vibration performance of Ribbed Deck can be evaluated using methods developed by Hamm et al., FPInnovations, and those outlined in EN 1995. Detailed guidance on these approaches is available in the educational section of the Spec Toolbox Ribbed Deck Calculator at: https://app.spectoolbox.com
Conclusion
Ribbed decks combine CLT panels with strategically placed glulam ribs to deliver high bending stiffness, longer spans, and reduced material use while maintaining the aesthetic and sustainable benefits of mass timber. Available in T-shaped, inverted, or box-type configurations, they enable lighter, quieter, and faster floor construction. As demand grows for efficient timber systems, tools like the Ribbed Deck Calculator support engineers in making informed design decisions and maximizing the potential of ribbed CLT floors in modern, sustainable buildings.
Design Ribbed Deck Composite Floors with SPEC Toolbox
The SPEC Toolbox includes a dedicated Ribbed Deck Calculator that simplifies the analysis and design of ribbed-deck composite floors. Engineers can define geometry, material properties, and connector setups from custom layups to screw selection across multiple suppliers. The tool performs all key Eurocode-based checks, including bending, shear, deflection, vibration, and connection design. With built-in guidance on mechanics and design principles, the platform is fully transparent, reducing the need to consult external standards. View the GIF below for a quick interface and workflow overview.

References
- Eurocode 5: Design of timber structures — Part 1-1: General — Common rules and rules for buildings
- Austrian Standards Institute. ÖNORM EN 1995-1-1:2015 — Eurocode 5: Design of Timber Structures – Part 1-1: General – Common Rules and Rules for Buildings
- proHolz Austria; Cross Laminated Timber Structural Design Volume2





